TOSSING NUMBERS AROUND

THE NEFF ZONE -- BY JIM NEFF

CADILLAC NEWS -- FEBRUARY 2, 2018

Our days are numbered. Dealing with digits has become a national pastime. It seems like life has become a parade of numbers marching through our brains. Dealing with all this is a daily challenge, but sometimes just tossing numbers around can be downright entertaining. 

 

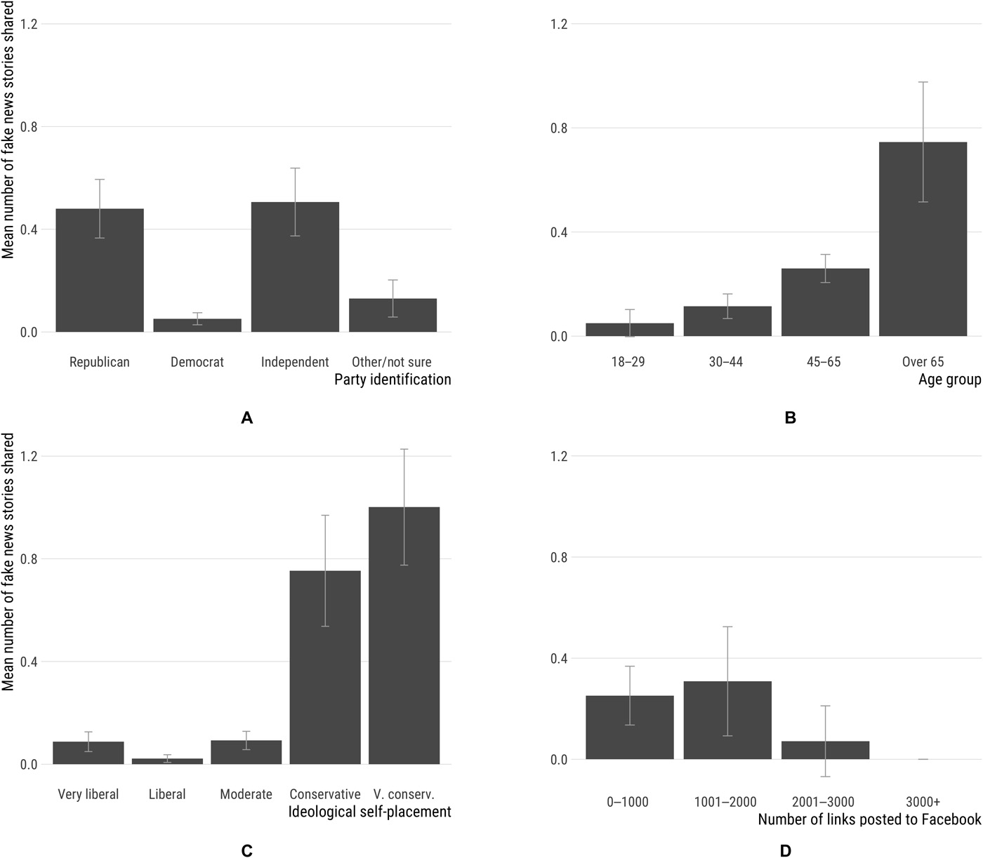
For example, numbers from Science Advances, the respected, peer-reviewed journal of the 170-year-old American Association for the Advancement of Science, will delight the whippersnappers and (perhaps) shock older Americans. Researchers at Princeton University and New York University have found: “Americans in their 50s, 60s and 70s are by far the the worst culprits when it comes to disseminating disinformation on the web. Users 65 and older shared false reports twice as often as those 45-65 years of age, and seven times as often as participants between 18 and 45.” 

 

This falsification predilection had just one major commonality. “Older users shared phony stories more promiscuously regardless of their political leanings, education, or income. In fact, no factor predicted the likelihood that someone spread fake news as reliably as his or her age.” 

 

Detroit Free Press columnist has some advice in this regard: “This isn't rocket science. If you can use a keyboard or telephone touchpad, you can do what savvy young people do. Go forth and be skeptical.”

(https://www.freep.com/story/opinion/columnists/brian-dickerson/2019/01/13/baby-boomers-fake-news/2535879002/ and http://advances.sciencemag.org/content/5/1/eaau4586?)

 

Sometimes you don't have to be skeptical because numbers are based on simple research. Have you showered today? If you are average, you take six showers a week. “Showers are usually the third largest use of water in the typical American home, accounting for around 17 percent of the water we use indoors. The average shower is 8.2 minutes and uses 17.2 gallons of water. The typical person uses 5,336.4 gallons of water showering each year. According to the US Census Bureau, Americans as a whole use a total of 1.7 trillion gallons a year showering. It’s enough to fill 2.6 million Olympic swimming pools or enough to fill all the NFL and Division 1 college football stadiums more than 10 times over.” Michigan residents use 53 billion gallons of shower water per year. (https://www.waterfilterdata.org/americans-use-about-1-7-trillion-gallons-of-water-showering/)

 

All that water can cost a lot, but on the other hand you save money on traffic fines just by living in America. That's because you U.S. traffic tickets are consistently among the world’s lowest. For instance, for speeding tickets, a company called Gocompare “researched tickets in all 50 states and got a nationwide average of $124.” That's a bargain compared to other counties. The most expensive are: Norway ($768), Iceland ($560), Estonia ($468), United Kingdom ($446) and Australia ($423). The $124 U.S. average ranks 15th. For a great graphical comparison of traffic fines for various offenses, go to: https://www.gocompare.com/car-insurance/harsher-penalties/#/

 

Speaking of driving, digits could be in play right here in Michigan. Stamped metal license plates might soon be replaced by high-definition digital screens. “The state's lame-duck Legislature approved a bill in December that allows the use of electronic license plates. Michigan is the first state in the nation to pass such legislation.” 

 

First the good news about these. “ The internet-connected plates have a long list of benefits, including automated vehicle renewals and easy personalization to reflect a driver's favorite sports team or charitable cause. The e-paper placards could also be used to pay bridge and road tolls and track a vehicle if it is stolen.”

 

Now the bad news. This technology may take a while. In a test in California: “Rplates costs $499 for a standard version and $799 for a plate with GPS technology — much pricier than the $22 a California driver spends to replace a standard plate.”

(https://www.freep.com/story/news/local/michigan/2019/01/18/michigan-digital-license-plates/2606450002/)

 

If you plan on driving to a Detroit Tigers baseball game this summer numbers (of the digital variety) will be in play. Paper tickets are a thing of the past. “Now, the Tigers will be using mobile tickets as its main method to enter games this season. All paper/print out/PDF tickets will no longer be accepted at Comerica Park.” 

 

You will only be able to present tickets on your smartphone via the MLB Ballpark app. “If you don't have access to a smartphone, you can call the Comerica Park Box Office or visit the Box Office on game day to receive tickets.” (https://www.mlb.com/tigers/tickets/mobile)

 

Don't worry about buying tickets if you're an average American because you may be tapped out anyway. The numbers from Pew Research are sobering: “Today’s real average wage (that is, the wage after accounting for inflation) has about the same purchasing power it did 40 years ago. And what wage gains there have been have mostly flowed to the highest-paid tier of workers. Today’s average hourly wage has just about the same purchasing power it did in 1978. In fact, in real terms average hourly earnings peaked more than 45 years ago. The $4.03-an-hour rate recorded in January 1973 had the same purchasing power that $23.68 would today.” (http://www.pewresearch.org/fact-tank/2018/08/07/for-most-us-workers-real-wages-have-barely-budged-for-decades/)

 

Don't despair, though, because I have a number that may make you happy. Do you like dogs? Would you like to curl up on the couch with a Fido on these cold winter nights? Would you be interested in a $2 million dog for just five bucks? Not a problem. China has plenty of these waiting for a home like yours.

 

Just a few years ago, Tibetan mastiffs were all the rage in China. Every rich person had to have one. “In 2014, a wealthy Chinese businessman reportedly coughed up nearly $2 million for a Tibetan mastiff.” (https://finance.yahoo.com/news/dog-breed-sold-over-million-215202627.html)

 

It was a passing fad, however. “Nowadays, the average asking price for these once-desirable dogs runs closer to $2,000, but many breeders are willing to sell them for far less.” Some have sold for five dollars. These cuties are 30 inches high and can weigh as much as 250 pounds, so before you get yours you may want to shop for a really big couch. 

 

Jim Neff is a local columnist. Read Neff Zone columns online at CadillacNews.com and NeffZone.com/cadillacnews